FAQs Complain Problems

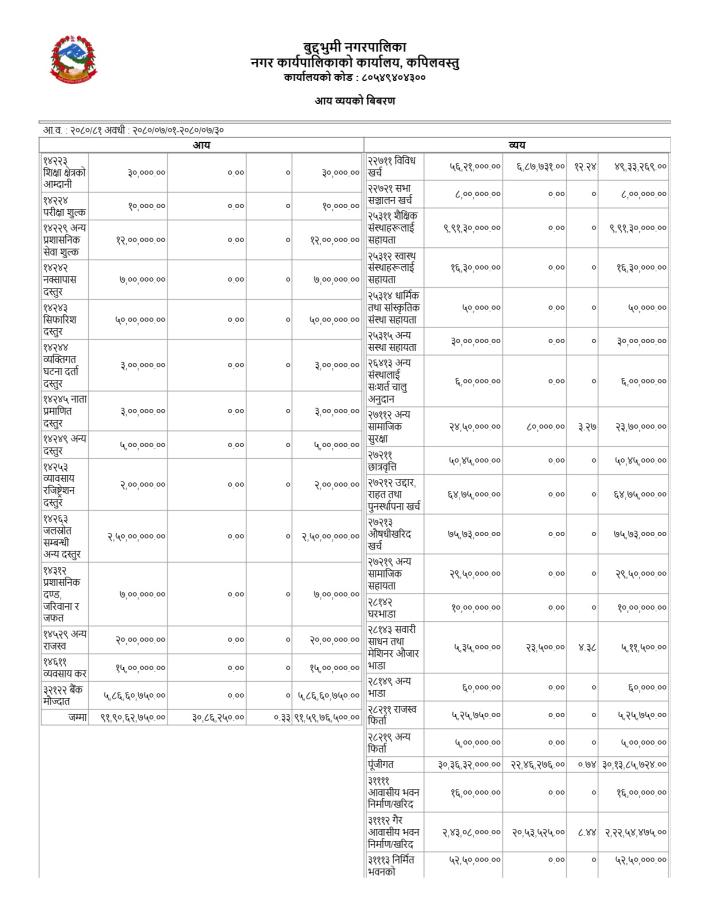
कार्त्तिक महिनाको आय/व्यव विवरण सम्बन्धमा ।

आर्थिक वर्ष:

//